<<<Анатомия и физиология человека<<<

Энергетика мышечного сокращения

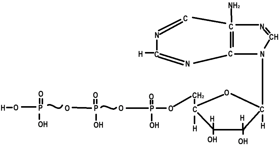
Процессы мышечного сокращения и расслабления протекают с расходованием энергии. Универсальным источником энергии всех живых организмов являются высокоэнергетические связи второго и третьего фосфорных остатков молекулы аденозинтрифосфорной кислоты.

Аденозинтрифосфорная кислота
Аденозинтрифосфорная кислота

Из за наличия макроэргических связей молекула аденозинтрифосфорной кислоты является крайне неустойчивой и время её жизни невелико, а значит запасы аденозинтрифосфорной кислоты в мышечной ткани незначительны.

При выполнении мышцами работы максимальной интенсивности запасов аденозинтрифосфорной кислоты для обеспечения процессов мышечного сокращения и расслабления хватает только на 1-2 секунды, далее необходимо включение реакция ресинтеза аденозинтрифосфорной кислоты из продуктов её распада.

Ресинтез аденозинтрифосфорной кислоты происходит за счёт трёх механизмов:

Креатинфосфатный путь ресинтеза аденозинтрифосфорной кислоты
(креатинкиназный, алактатный)

Креатинкиназный путь ресинтеза аденозинтрифосфорной кислоты отличается коротким периодом запуска (1-2 секунды) и представляет собой ресинтез аденозинтрифосфорной кислоты из продукта её распада (аденозиндифосфорной кислоты) с участием креатинфосфата и образованием креатина.

Креатинфосфат + АДФ ⟺ Креатин + АТФ
Креатинфосфат Креатин
Другими словами, в результате химической реакции происходит перенос остатка фосфорной кислоты с молекулы креатинфосфата на молекулу аденозиндифосфорной кислоты. Катализатором данной химической реакции является фермент креатинкиназа.

Реакция креатинкиназного пути ресинтеза аденозинтрифосфорной кислоты обратима. При интенсивной мышечной работе за счёт увеличения содержания аденозиндифосфорной кислоты и ионов Ca2+ равновесие смещается вправо (в сторону образования аденозинтрифосфорной кислоты). В покое и при мышечной работе малой интенсивности равновесие реакции смещается влево в сторону образования и накопления креатинфосфата. Именно поэтому при длительной мышечной работе креатинкиназный путь ресинтеза аденозинтрифосфорной кислоты может запускаться многократно.

В молекуле креатинфосфата остаток фосфорной кислоты соединяется при помощи макроэргической сввзи, поэтому креатинфосфат также является соединением неустойчивым. В случае отщепления от креатинфосфата молекулы фосфорной кислоты последний превращается в креатинин.

Креатинфосфат Креатинин + H3PO4
Креатинфосфат Креатинин Фосфорная кислота
Данная реакция необратима. Креатин далее выводится из организма с мочой в неизменённом виде.

Креатинфосфатный путь ресинтеза аденозинтрифосфорной кислоты обладает крайне малым временем развёртывания (1-2 секунды), большой мощностью и малой продолжительностью (8-10 секунд). Но, как уже отмечалось, при длительной мышечной работе может при необходимости запускаться многократно.

Гликолитический путь ресинтеза аденозинтрифосфорной кислоты

Гликолитический путь ресинтеза аденозинтрифосфорной кислоты прорекает без участия кислорода. В качестве источника энергии для образования аденозинтрифосфорной кислоты используется глюкоза, которая в свою очередь берётся из мышечного гликогена в форме глюкозо-1-фосфата. Далее, через ряд последовательных стадий глюкозо-1-фосфат превращается в молочную кислоту,

Молочная кислота
Молочная кислота
а остаток фосфорной кислоты переносится на аденозиндифосфорную кислоту, превращая её в аденозинтрифосфорную кислоту.

(C6H10O5)n + 3 АДФ + 3 H3PO4 (C6H10O5)n-1 + 2C3H6O3 + 3АТФ + 2H2O
Гликоген Адеозиндифосфорная
кислота
Фосфорная
кислота
Укороченный
гликоген
Молочная
кислота
Аденозинтрифосфорная
кислота
Вода

Процесс образования аденозинтрифосфорной кислоты из глюкозо-1-фосфата называется гликолизом.

Гликолизу может подвергаться также и глюкоза, поступающая в мышцы из кровяного русла.

C6H12O6 + 2 АДФ + 2 H3PO4 2C3H6O3 + 2АТФ + 2H2O
Глюкоза Адеозиндифосфорная
кислота
Фосфорная
кислота
Молочная
кислота
Аденозинтрифосфорная
кислота
Вода

Гликолитический путь ресинтеза аденозинтрифосфорной кислоты разворачивается за несколько секунд и выходит на максимальную мощность за 20-30 секунд. Время его работы на максимальной мощности составляет 2-3 минуты.

Данный путь ресинтеза аденозинтрифосфорной кислоты является крайне неэкономичным, так как из одной молекулы глюкозы отщеплённой от гликолиза, образуется всего 3 молекулы аденозинтрифосфорной кислоты, кроме того, в процессе образуется побочный продукт - молочная кислота, накопление которой в мышцах приводит к их закислению и нарушению работы ферментных систем.

Аэробный путь ресинтеза аденозинтрифосфорной кислоты

Аэробный путь ресинтеза аденозинтрифосфорной кислоты (тканевое дыхание, аэробное фосфорилирование, окислительное фосфорилирование) происходит в митохондриях мышечных клеток. Происходит с участием кислорода. По эффективности значительно превосходит анаэробный путь ресинтеза аденозинтрифосфорной кислоты, поскольку из одной молекулы глюкозы в данном случае синтезируется 38 молекул аденозинтрифосфорной кислоты, в случае глюкозы, отщеплённой от гликогена мышц - 39 молекул.

Помимо глюкозы в процесс могут вовлекаться также жиры и аминокислоты (белки). Конечными продуктами распада окисляемых веществ являются углекислый газ и вода.

Аэробный путь ресинтеза аденозинтрифосфорной кислоты характеризуется относительно небольшой мощностью и малой скоростью развёртывания (3-4 минуты). Длительность активации объясняется необходимостью ускорения доставки кислорода к мышцам, а значит к активизации работы дыхательной и (особенно) сердечно-сосудистой систем.

В спортивной практике для оценки аэробного пути ресинтеза аденозинтрифосфорной кислоты используются следующие показатели:

<<<Анатомия и физиология человека<<<